某一柱一桩(端承灌注桩)基础,桩径1.0m,桩长20m,承受轴向竖向荷载设计值N= 5000kN,地表大面积堆载,P=60kPa,桩周土层分布如图4-9所...

作者: tihaiku 人气: - 评论: 0
问题 某一柱一桩(端承灌注桩)基础,桩径1.0m,桩长20m,承受轴向竖向荷载设计值N= 5000kN,地表大面积堆载,P=60kPa,桩周土层分布如图4-9所示。根据《建筑桩基技术规范》(JGJ 94-2008)桩身 混凝土强度等级选用下列哪一数值最经济合理?考虑地震作用,灌注桩施工工艺系数ψc=0.7,负摩阻力系数ξn=0. 20) ( ) 提示: A. C20 B. C25 C. C30 D. C35
选项
答案 B
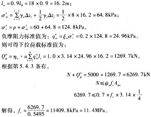
解析 根据《建筑桩基技术规范》(JGJ 94—2008)第5. 4. 4条,基桩的下拉荷载标准值计算如下: 查表5. 4. 4 - 2可知中性点深度比为0. 9,则中性点深度为: ln =0. 9l=0 18×0. 9 = 16. 2m;

相关内容:一桩,端承,灌注桩,基础,桩径,桩长,承受,荷载,设计,5000kN,地表,大面积,堆载,桩周,土层,如图,4-9所

猜你喜欢

发表评论
更多 网友评论0 条评论)
暂无评论

访问排行

Copyright © 2012-2014 恰考网 Inc. 保留所有权利。 Powered by tikuer.com

页面耗时0.0357秒, 内存占用1.05 MB, Cache:redis,访问数据库20次