沉井靠自重下沉,若不考虑浮力及刃脚反力作用,则下沉系数K=Q/T,式中Q为沉井自重,T为沉井与土间的摩阻力,(假设T=πD)(H-2.5)f),某工程地质...

作者: tihaiku 人气: - 评论: 0
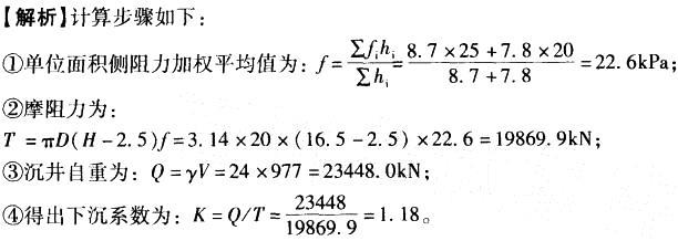
问题 沉井靠自重下沉,若不考虑浮力及刃脚反力作用,则下沉系数K=Q/T,式中Q为沉井自重,T为沉井与土间的摩阻力,(假设T=πD)(H-2.5)f),某工程地质剖面及设计沉井尺寸如图4 - 12所示,沉井外径D =20m,下沉深度为16.5m,井身混凝土体积为977m3,混凝土重度为24kN/m3,请验算沉井在下沉到图4-12所示位置时的下沉系数K最接近( )。 A. 1. 10 B. 1.20 C. 1.28 D. 1.35
选项
答案 B
解析

相关内容:沉井,自重,刃脚,作用,系数,式中,阻力,假设,工程地质

猜你喜欢

发表评论
更多 网友评论0 条评论)
暂无评论

访问排行

Copyright © 2012-2014 恰考网 Inc. 保留所有权利。 Powered by tikuer.com

页面耗时0.0551秒, 内存占用1.04 MB, Cache:redis,访问数据库14次