某桩基工程设计等级为乙级,其桩型平面布置、剖面和地层分布如图4-13所示,已知轴力F = 12000kN,力矩M = 1030kN·m,水平力H=600k...

作者: tihaiku 人气: - 评论: 0
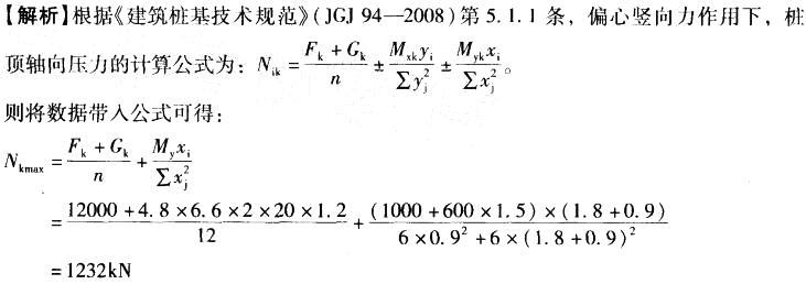
问题 某桩基工程设计等级为乙级,其桩型平面布置、剖面和地层分布如图4-13所示,已知轴力F = 12000kN,力矩M = 1030kN·m,水平力H=600kN,承台和填土的平均重度为20kN/m3,自重荷载分项系数取1. 2,桩顶轴向压力最大设计值的计算结果最接近 ( )kN。 A. 1020 B. 1232 C. 1380 D. 1520
选项
答案 B
解析

相关内容:桩基,工程设计,等级,其桩型,平面,剖面,地层,如图,4-13所示,轴力,12000kN,力矩,1030kN,水平,600k...

猜你喜欢

发表评论
更多 网友评论0 条评论)
暂无评论

访问排行

Copyright © 2012-2014 恰考网 Inc. 保留所有权利。 Powered by tikuer.com

页面耗时0.0431秒, 内存占用1.05 MB, Cache:redis,访问数据库19次