某松散砂土地基,拟采用直径400mm的振冲桩进行加固。如果取处理后桩间土承载力特征值Fsk=90kPa,桩土应力比取3.0,采用等边三角形布桩。要使加固后...

作者: tihaiku 人气: - 评论: 0
问题 某松散砂土地基,拟采用直径400mm的振冲桩进行加固。如果取处理后桩间土承载力特征值Fsk=90kPa,桩土应力比取3.0,采用等边三角形布桩。要使加固后地基承载力特征值达到120kPa,根据《建筑地基处理技术规范》(JGJ 79—2002),振冲砂石桩的间距(m)应为下列哪个选项的数值?( ) A. 0.85 B. 0.93 C. 1.00 D. 1. 10
选项
答案 B
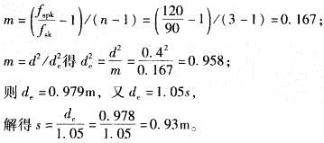
解析 根据《建筑地基处理技术规范》(JGJ79—2002)式(7.2.8 - 1), fspk =mfpk + (1-m)fsk 根据已知,fpk=3fsk。代入得: fspk =[1 + m(n-1)]fsk ;

相关内容:砂土,地基,直径,振冲桩,加固,桩间,承载力,特征值,桩土,应力,比取,等边三角形,布桩

猜你喜欢

发表评论
更多 网友评论0 条评论)
暂无评论

访问排行

Copyright © 2012-2014 恰考网 Inc. 保留所有权利。 Powered by tikuer.com

页面耗时0.0413秒, 内存占用1.05 MB, Cache:redis,访问数据库20次