有粘质粉性土和砂土两种土料,其重度都等于18kN/m3,砂土 c1=0kPa,φ1=35o,粘质粉性土c2=20kPa,φ2=20o。对于墙背垂直光滑和填...

作者: tihaiku 人气: - 评论: 0
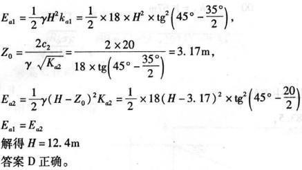
问题 有粘质粉性土和砂土两种土料,其重度都等于18kN/m3,砂土 c1=0kPa,φ1=35o,粘质粉性土c2=20kPa,φ2=20o。对于墙背垂直光滑和填土表面水平的挡土墙,对应于下列哪个选项的墙高,用两种土料作墙后填土计算的作用于墙背的总主动土压力值正好是相同的? A. 6.6m B.7.0m C. 9.8m D. 12.4m
选项
答案 D
解析 据《教材》中第七篇,第一章,第二节计算

相关内容:粉性,砂土,土料,墙背

猜你喜欢

发表评论
更多 网友评论0 条评论)
暂无评论

访问排行

Copyright © 2012-2014 恰考网 Inc. 保留所有权利。 Powered by tikuer.com

页面耗时0.0380秒, 内存占用1.05 MB, Cache:redis,访问数据库20次