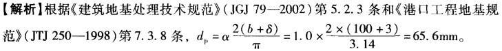
在采用塑料排水板进行软土地基处理时需换算成等效砂井直径,现有宽100mm、厚3mm的排水板,如取换算系数α= 1.0,等效砂并换算直径应取( )mm。 ...

作者: tihaiku 人气: - 评论: 0
问题 在采用塑料排水板进行软土地基处理时需换算成等效砂井直径,现有宽100mm、厚3mm的排水板,如取换算系数α= 1.0,等效砂并换算直径应取( )mm。 A. 55 B. 60 C. 65 D. 70
选项
答案 C
解析

相关内容:塑料,排水,软土,地基处理,时需,换算,砂井,直径,现有,如取,系数,应取

猜你喜欢

发表评论
更多 网友评论0 条评论)
暂无评论

访问排行

Copyright © 2012-2014 恰考网 Inc. 保留所有权利。 Powered by tikuer.com

页面耗时0.0810秒, 内存占用1.05 MB, Cache:redis,访问数据库20次