如图5-6所示,某场地中淤泥质黏土厚15m,下为不透水土层,该淤泥质黏土层固结系数Ch=CV=2.0×10-3cm2/s,拟采用大面积堆载预压法加固,采用...

作者: tihaiku 人气: - 评论: 0
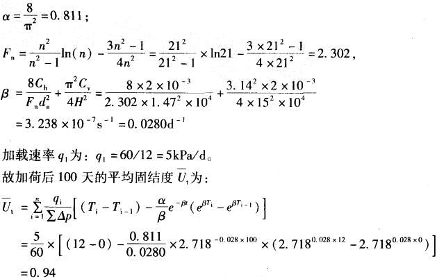
问题 如图5-6所示,某场地中淤泥质黏土厚15m,下为不透水土层,该淤泥质黏土层固结系数Ch=CV=2.0×10-3cm2/s,拟采用大面积堆载预压法加固,采用袋装砂井排水,井径为dw=70mm,砂井按等边三角形布置,井距l= 1.4m,井深度15m,预压荷载p=60kPa;一次匀速施加,时间为12天,开始加载后100天,平均固结度接近下列()。 A. 0.80 B. 0.85 C. 0.90 D. 0. 95
选项
答案 D
解析 根据《建筑地基处理技术规范》(JGJ 79—2002)第5. 2. 4条、第5. 2. 5条和第 5. 2. 7 条,有效排水直径de=1. 05l= 1. 05×1.4 = 1.47m;井径比n= de/dw = 1.47/0.07 = 21;砂井穿透受压土层α,β值分别为:

相关内容:如图,5-6所示,某场,地中,淤泥,黏土,土层,质黏,系数,10-3cm2,大面积,堆载,预压,加固

猜你喜欢

发表评论
更多 网友评论0 条评论)
暂无评论

访问排行

Copyright © 2012-2014 恰考网 Inc. 保留所有权利。 Powered by tikuer.com

页面耗时0.0413秒, 内存占用1.05 MB, Cache:redis,访问数据库20次