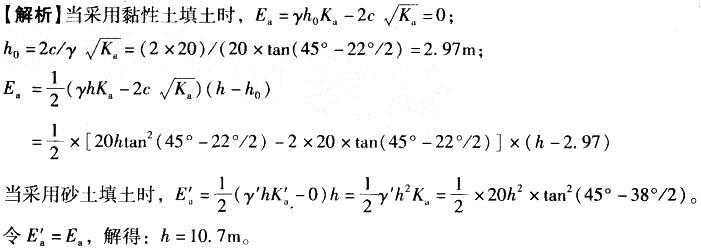
有一重力式挡土墙墙背垂直光滑,无地下水,打算使用两种墙背填土,一种是黏土,c=20kPa,φ=22°,另一种是砂土,c=0,φ=38°,重度都是20kN/...

作者: tihaiku 人气: - 评论: 0
问题 有一重力式挡土墙墙背垂直光滑,无地下水,打算使用两种墙背填土,一种是黏土,c=20kPa,φ=22°,另一种是砂土,c=0,φ=38°,重度都是20kN/m3,问墙高h等于( )m时,采用黏土填料和砂土填料的墙背总主动土压力两者基本相等。 A. 3.0 B. 7.8 C. 10. 7 D. 12.4
选项
答案 C
解析

相关内容:重力,式挡,土墙,墙背,地下水,打算,黏土,砂土

猜你喜欢

发表评论
更多 网友评论0 条评论)
暂无评论

访问排行

Copyright © 2012-2014 恰考网 Inc. 保留所有权利。 Powered by tikuer.com

页面耗时0.0411秒, 内存占用1.05 MB, Cache:redis,访问数据库20次