某地基中有一8m厚度饱和软黏土层,其下为粉土层,采用打设塑料排水板真空预压加固。已知软土的天然重度、天然孔隙比、压缩指数分别为y= 17kN/m3,e0=...

作者: tihaiku 人气: - 评论: 0
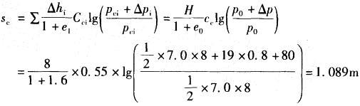
问题 某地基中有一8m厚度饱和软黏土层,其下为粉土层,采用打设塑料排水板真空预压加固。已知软土的天然重度、天然孔隙比、压缩指数分别为y= 17kN/m3,e0=1.6, Cc = 0.55,沉降修正系数取1.0。平均潮位与饱和软黏土顶面相齐。该层顶面分层铺设80cm砂垫层,重度为19kN/m3,塑料排水板打至软黏土层底面,正方形布置,间距 1.3m,然后采用80kPa大面积真空预压6个月。按正常固结土考虑,其最终固结沉降量最接近( )m。 A. 0. 86 B. 1.00 C. 1.09 D. 1.44
选项
答案 C
解析 根据《铁路特殊路基设计规范》(TB 10035—2006)第3. 2. 4条,对正常固结土, 有pc=p0则最终固结沉降量为:

相关内容:地基,厚度,饱和,软黏,土层,其下,塑料,排水,真空,预压,加固,软土,天然,孔隙,指数

猜你喜欢

发表评论
更多 网友评论0 条评论)
暂无评论

访问排行

Copyright © 2012-2014 恰考网 Inc. 保留所有权利。 Powered by tikuer.com

页面耗时0.0532秒, 内存占用1.05 MB, Cache:redis,访问数据库20次