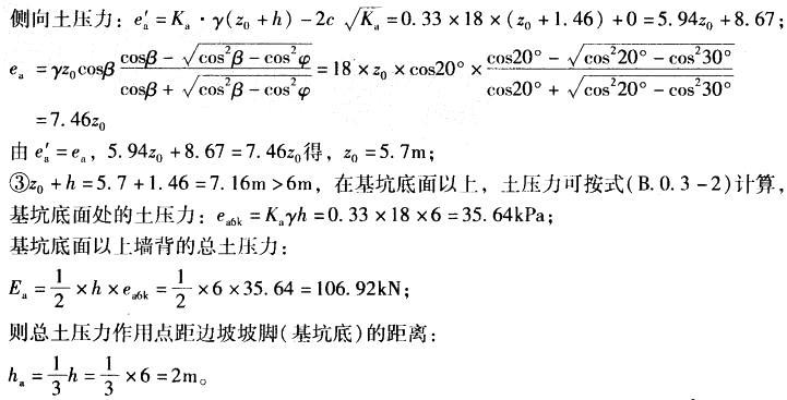
某砂土坡体的边坡,其剖面图如图6-30所示。已知无地下水,地表无荷载,内聚力c=0,内摩擦角φ=30。,重度y=18kN/m3,地面坡角β=20。。根据《...

作者: tihaiku 人气: - 评论: 0
问题 某砂土坡体的边坡,其剖面图如图6-30所示。已知无地下水,地表无荷载,内聚力c=0,内摩擦角φ=30。,重度y=18kN/m3,地面坡角β=20。。根据《建筑边坡工程技术规范》(GB 50330-2002),求支挡结构在坡脚以上部分的侧向压力及其作用点距边坡坡脚(基坑底)的距离分别为( )。 A. 214kN 1.9m B. 107kN; 2.0m C. 107kN; 1.9m D. 214kN; 2.0m
选项
答案 B
解析 根据《建筑边坡工程技术规范》(GB 50330—2002)第B. 0. 3条, ①设支挡结构后的坡面延长线与支挡结构的交点为C,则BC间的距离为: h = b·tanβ/3 =4×tan20°= 1. 46m; ②设当z=z0时,采用式(B.0.3-1)与式(B. 0.3-2)计算的ea、ea′相等,则: 主动土压力系数:Ka=tan2(45°-30°/2) =0. 33;

相关内容:某砂,土坡,边坡,剖面图,如图,6-30所示,地下水,地表,荷载,内聚力,地面,坡角,根据

猜你喜欢

发表评论
更多 网友评论0 条评论)
暂无评论

访问排行

Copyright © 2012-2014 恰考网 Inc. 保留所有权利。 Powered by tikuer.com

页面耗时0.0821秒, 内存占用1.05 MB, Cache:redis,访问数据库20次