如图6-32所示为某5m高重力式挡墙,墙后填土为砂土,主动土压力合力Ea= 160kN/m,墙顶、底宽分别为1.0m、3.0m,墙截面为梯形,墙体材料重度...

作者: tihaiku 人气: - 评论: 0
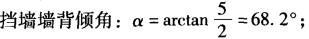
问题 如图6-32所示为某5m高重力式挡墙,墙后填土为砂土,主动土压力合力Ea= 160kN/m,墙顶、底宽分别为1.0m、3.0m,墙截面为梯形,墙体材料重度为2.4kN/m3,墙背与填土间摩擦角为15°,按《建筑边坡工程技术规范》(GB 50330—2002)计算,该重力式挡墙抗倾覆稳定性系数为( )。 A. 1. 8 B. 2. 1 C. 2.5 D. 3.2
选项
答案 C
解析 根据《建筑边坡工程技术规范》(GB 50330—2002)第10. 2. 4条, 岩土压力作用点至墙踵的高度:z= (1/3)H=1.667; Eax=Easin (α-δ) = 160×sin (68.2°- 15°) =128. 1kN Eaz = Eacos(α-δ) = 160×cos(68. 2°- 15°) =95. 8kN xf= b - zcotα=3-1. 667×cot68. 2°= 2. 333 ; zf= z - betanα0=1. 667 - 3×tan0° = 1. 667 ; 挡墙每延米自重: G矩=5×1×24 = 120kN; G三=G-G矩=240-120 =120kN; 挡墙重心至墙趾的水平距离: x0G=0.5G矩 +2×G三; x0=1/240(0.5×120 +2×120) =1.25; 挡墙抗倾覆稳定性系数: k = (Gx0 +Eazxf)/(Eaxzf) =(240×1.25 +95. 8×2. 333)/(128. 1×1.667) =2.5。

相关内容:如图,高重力,重力,挡墙,砂土,压力,合力,墙顶,墙截,梯形,墙体,材料

猜你喜欢

发表评论
更多 网友评论0 条评论)
暂无评论

访问排行

Copyright © 2012-2014 恰考网 Inc. 保留所有权利。 Powered by tikuer.com

页面耗时0.0388秒, 内存占用1.05 MB, Cache:redis,访问数据库20次