透水地基上的重力式挡土墙,如图6-15所示。墙后砂填土的c=0,φ=30°, y=18kN/m3。墙高7m,上顶宽1m,下底宽4m,混凝土重度为25kN/...

作者: tihaiku 人气: - 评论: 0
问题 透水地基上的重力式挡土墙,如图6-15所示。墙后砂填土的c=0,φ=30°, y=18kN/m3。墙高7m,上顶宽1m,下底宽4m,混凝土重度为25kN/m3。墙底与地基土摩擦系数为f= 0.58。当墙前后均浸水时,水位在墙底以上3m,除砂土饱和重度变为ysat=20kN/m3外,其他参数在浸水后假定都不变。水位升高后该挡土墙的抗滑移稳定安全系数最接近于下列哪个选项?() A. 1.08 B. 1.40 C. 1.45 D. 1.88
选项
答案 A
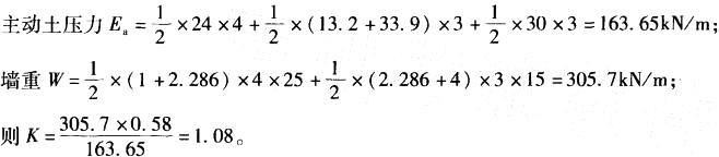
解析 2 点上主动土压力强度 E21 =y1h1Ka =18×4×0.33 =24kPa; 2 点下主动土压力强度E2上 = (10×4)×0.33 = 13.2kPa; 3 点主动土压力强度E2下=24 + 10×3×0.33 =33.9kPa; 3点水压力强度Pw=ywh= 10×3= 30kPa;

相关内容:透水,地基,重力,式挡,土墙,如图,6-15所示,墙高,混凝土

猜你喜欢

发表评论
更多 网友评论0 条评论)
暂无评论

访问排行

Copyright © 2012-2014 恰考网 Inc. 保留所有权利。 Powered by tikuer.com

页面耗时0.0354秒, 内存占用1.05 MB, Cache:redis,访问数据库20次