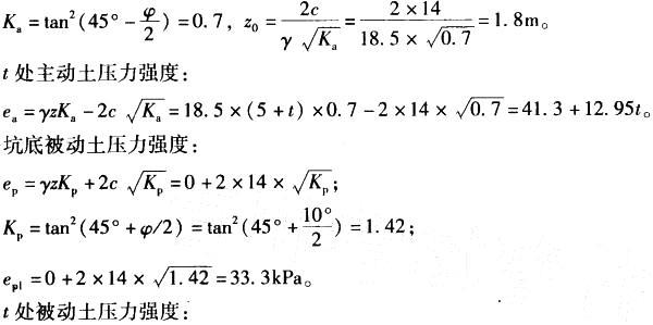
某基坑位于均匀软弱黏性土场地,如图7-10所示。土层主要参数:y= 18.5kN/m3,固结不排水强度指标ck=14kPa,φk=10°。基坑开挖深度为5...

作者: tihaiku 人气: - 评论: 0
问题 某基坑位于均匀软弱黏性土场地,如图7-10所示。土层主要参数:y= 18.5kN/m3,固结不排水强度指标ck=14kPa,φk=10°。基坑开挖深度为5.0m。拟采用水泥土墙支护,水泥土重度为20.0kN/m3,挡墙宽度为3.0m。根据《建筑基坑支护技术规程》(JGJ 120—1999)计算水泥土墙嵌固深度设计值,该值最接近下列哪个选项的数值?( ) A. 2.0m B. 2. 2m C. 2. 5m D. 2. 8m
选项
答案 B
解析 具体计算如下:

相关内容:基坑,黏性,场地,如图,7-10所示,土层,参数,18.5kN,排水,强度,指标,开挖,深度

猜你喜欢

发表评论
更多 网友评论0 条评论)
暂无评论

访问排行

Copyright © 2012-2014 恰考网 Inc. 保留所有权利。 Powered by tikuer.com

页面耗时0.0482秒, 内存占用1.05 MB, Cache:redis,访问数据库19次