在密实砂土地基中进行地下连续墙的开槽施工,地下水位与地面齐平,砂土的饱和重度ysat=20.2kN/m3,内摩擦角φ=38°,黏聚力c=0,采用水下泥浆护...

作者: tihaiku 人气: - 评论: 0
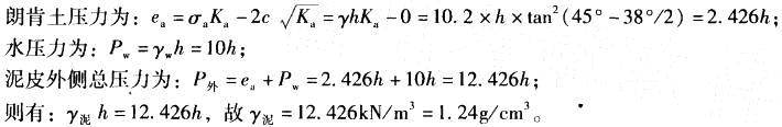
问题 在密实砂土地基中进行地下连续墙的开槽施工,地下水位与地面齐平,砂土的饱和重度ysat=20.2kN/m3,内摩擦角φ=38°,黏聚力c=0,采用水下泥浆护壁施工。槽内的泥浆与地面齐平,形成一层不透水的泥皮。为了使泥浆压力能平衡地基砂土的主动土压力,使槽壁得持稳定,泥浆比重至少应达到( )g/cm3。 A. 1.24 B. 1.35 C. 1.45 D. 1.56
选项
答案 A
解析 根据题意计算如下:

相关内容:砂土,地基,地下,开槽,施工,水位,地面,齐平,饱和,20.2kN,黏聚,泥浆

猜你喜欢

发表评论
更多 网友评论0 条评论)
暂无评论

访问排行

Copyright © 2012-2014 恰考网 Inc. 保留所有权利。 Powered by tikuer.com

页面耗时0.0479秒, 内存占用1.05 MB, Cache:redis,访问数据库19次