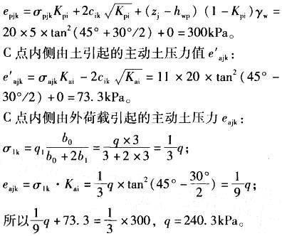
基坑剖面如图7-16所示,已知砂土的重度y=20kN3,φ=30°,c=0,计算土压力时,如果C点主动土压力值达到被动土压力值的1/3,则基坑外侧所受条形...

作者: tihaiku 人气: - 评论: 0
问题 基坑剖面如图7-16所示,已知砂土的重度y=20kN3,φ=30°,c=0,计算土压力时,如果C点主动土压力值达到被动土压力值的1/3,则基坑外侧所受条形附加荷载q最接近下列( )kPa。 A. 80 B. 120 C. 180 D. 240
选项
答案 A
解析 根据《建筑基坑支护技术规程》(JGJ120—1999)第 3.4节、第 3.5 节,C 点埋深11m,小于b0+3b1=3+3×3= 12m,在支护结构外侧荷载影响范围之内,具体分析如下:C点外侧被动土压力epjk :

相关内容:基坑,剖面,如图,7-16所示,砂土,压力,点主,条形

猜你喜欢

发表评论
更多 网友评论0 条评论)
暂无评论

访问排行

Copyright © 2012-2014 恰考网 Inc. 保留所有权利。 Powered by tikuer.com

页面耗时0.0752秒, 内存占用1.04 MB, Cache:redis,访问数据库18次