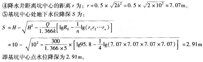
某边长为10m的正方形基坑,在每个角布置一口降水井,井群符合潜水完整井稳定流条件,含水层厚10m,单井涌水量为75m3/d,渗透系数为5m/d,潜水井影响...

作者: tihaiku 人气: - 评论: 0
问题 某边长为10m的正方形基坑,在每个角布置一口降水井,井群符合潜水完整井稳定流条件,含水层厚10m,单井涌水量为75m3/d,渗透系数为5m/d,潜水井影响半径为90m。请问按《建筑基坑支护技术规程》(JGJ 120—1999)计算时,基坑中心处地下水位降深为( )m。 A. 6.87 B. 2.91 C. 4.73 D. 3.73
选项
答案 B
解析 根据《建筑基坑支护技术规程》(JGJ 120—1999)第8. 3节,按潜水完整井稳定流计算如下: ①基坑等效半径r0为:r0=0.29(a+b)=0.29×(10+10)=5.80。式中,a为基坑边长,b为基坑另一边长。 ②等效半径与降水井影响半径之和R0为:R0=r0+R=5.8 +90=95.8m。 ③基坑涌水量Q为:Q=4q=4×75 =300m3/d。式中,q为单井涌水量。

相关内容:某边,正方形,基坑,一口,水井,潜水,完整井,条件,含水层,单井涌,水量,系数,影响

猜你喜欢

发表评论
更多 网友评论0 条评论)
暂无评论

访问排行

Copyright © 2012-2014 恰考网 Inc. 保留所有权利。 Powered by tikuer.com

页面耗时0.0439秒, 内存占用1.05 MB, Cache:redis,访问数据库20次