某一滑动面为折线型的均质滑坡,其主轴断面及作用力参数如图8-4、表8-8所示, 问该滑坡的稳定性系数Fs最接近于( ) 。 A. 0.80 B....

作者: tihaiku 人气: - 评论: 0
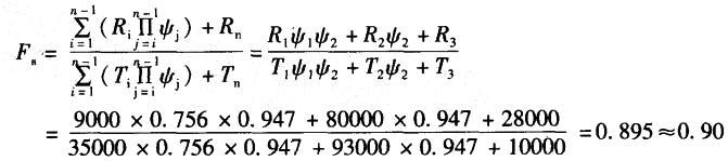
问题 某一滑动面为折线型的均质滑坡,其主轴断面及作用力参数如图8-4、表8-8所示, 问该滑坡的稳定性系数Fs最接近于( ) 。 A. 0.80 B. 0.85 C. 0.90 D. 0. 95
选项
答案 C
解析 根据《岩土工程勘察规范》(GB 50021 —2001)(2009年版)第5.2.8条及条文说明第5. 2. 8条,当滑动面为折线时,滑坡的稳定性系数为:

相关内容:滑动,线型,主轴,断面,作用力,参数,如图,8-8所示,问该,稳定性,系数,最接

猜你喜欢

发表评论
更多 网友评论0 条评论)
暂无评论

访问排行

Copyright © 2012-2014 恰考网 Inc. 保留所有权利。 Powered by tikuer.com

页面耗时0.0567秒, 内存占用1.04 MB, Cache:redis,访问数据库15次