某场地中有一土洞,洞穴顶面深15m, 土体主力扩散角为30°,基础埋深为2.0m,该建筑物基础边缘距该洞应不小于( )m。 A. 1.2 B. 5.3 ...

作者: tihaiku 人气: - 评论: 0
问题 某场地中有一土洞,洞穴顶面深15m, 土体主力扩散角为30°,基础埋深为2.0m,该建筑物基础边缘距该洞应不小于( )m。 A. 1.2 B. 5.3 C. 7.5 D. 8.7
选项
答案 C
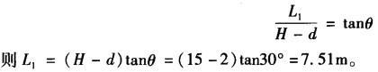
解析 用荷载传递法进行求解,设基边缘离开洞穴边界的最小距离为L1,可得:

相关内容:场地,一土,洞穴,顶面,土体,主力,扩散,基础,建筑物,边缘,距该,洞应

猜你喜欢

发表评论
更多 网友评论0 条评论)
暂无评论

访问排行

Copyright © 2012-2014 恰考网 Inc. 保留所有权利。 Powered by tikuer.com

页面耗时0.0371秒, 内存占用1.05 MB, Cache:redis,访问数据库20次