某建筑场地抗震设防烈度为7度,地下水位埋深为dw=5.0m, 土层柱状分布如表9-5所示,拟采用天然地基,按照液化初判条件建筑物基础埋置深度db最深不能超...

作者: tihaiku 人气: - 评论: 0
问题 某建筑场地抗震设防烈度为7度,地下水位埋深为dw=5.0m, 土层柱状分布如表9-5所示,拟采用天然地基,按照液化初判条件建筑物基础埋置深度db最深不能超过( )m临界深度时方可不考虑饱和粉砂的液化影响。 A. 1.0 B. 2.0 C. 3.0 D. 4.0
选项
答案 C
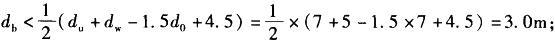
解析 根据《建筑抗震设计规范》(GB 50011 —2010)第4.3.3条,由已知得: du=10-3=7m, d0=7m,则: ①如满足du>d0+db-2, 则有:db<du-d0+2=7-7+2=2m; ②如满足dw>d0+db-3,则有:db<dw-d0+3=5-7+3=1.0m; ③如满足du+dw>1.5d0+2db-4.5,则有: 满足上述之一即可不考虑液化影响。

相关内容:建筑,场地,抗震,设防,烈度,地下,水位,土层,柱状,9-5所示,天然,地基,液化,初判,条件,建筑物,基础,深度

猜你喜欢

发表评论
更多 网友评论0 条评论)
暂无评论

访问排行

Copyright © 2012-2014 恰考网 Inc. 保留所有权利。 Powered by tikuer.com

页面耗时0.0391秒, 内存占用1.05 MB, Cache:redis,访问数据库20次