桥梁勘察的部分成果如表9-6所示,根据勘察结果,按《公路工程抗震设计规范》(JTJ 004—1989)进行结构的抗震计算时,地表以下20m深度内各土层的平...

作者: tihaiku 人气: - 评论: 0
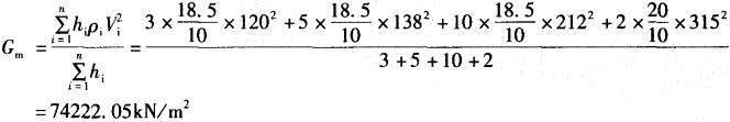
问题 桥梁勘察的部分成果如表9-6所示,根据勘察结果,按《公路工程抗震设计规范》(JTJ 004—1989)进行结构的抗震计算时,地表以下20m深度内各土层的平均剪切模量Gm的计算结果最接近( )kN/m2。 A. 65000 B. 70000 C. 74000 D. 80000
选项
答案 C
解析 根据《公路工程抗震设计规范》(JTJ 004—1989)附录六,当覆盖土层厚度超过20m时,取自地表起20m范围内土层的平均剪切模量,则场地土平均剪切模量为: 式中,n表示覆盖土层的分层数,hi、ρi、Vi分别为土的厚度、质量密度和剪切波速度。

相关内容:桥梁,勘察,部分,成果,9-6所示,根据,结果,公路工程抗震设计规范,结构,抗震,地表,深度,内各,土层

猜你喜欢

发表评论
更多 网友评论0 条评论)
暂无评论

访问排行

Copyright © 2012-2014 恰考网 Inc. 保留所有权利。 Powered by tikuer.com

页面耗时0.0469秒, 内存占用1.05 MB, Cache:redis,访问数据库20次