某碾压式土石坝坝高为30m,迎水面坝坡坡率为1:3,库水平均波长为10m,累积频率为5%时的坡高为2.0m,护坡厚度宜为(  )m。(护坡石料相对密度为2...

作者: tihaiku 人气: - 评论: 0
问题 某碾压式土石坝坝高为30m,迎水面坝坡坡率为1:3,库水平均波长为10m,累积频率为5%时的坡高为2.0m,护坡厚度宜为(  )m。(护坡石料相对密度为2.4t/m3)
选项 A.0.2 B.0.3 C.0.4 D.0.5
答案 D
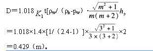
解析 根据《碾压式土石坝设计规范》(DL/T 5395—2007)附录A第A.2.1条,石块的换算球形直径,按下式计算, 根据附录A,表A.2.1得kt=1.4,根据式A.23,可得当Lm/hp=10/2=5≤15时, t=(1.67/kt)D=(1.67/1.4)×0.429=0.512m。

相关内容:土石,坝坝,水面,坡坡率,库水,累积,频率,坡高,护坡,厚度,石料,密度

猜你喜欢

发表评论
更多 网友评论0 条评论)
暂无评论

访问排行

Copyright © 2012-2014 恰考网 Inc. 保留所有权利。 Powered by tikuer.com

页面耗时0.0530秒, 内存占用1.05 MB, Cache:redis,访问数据库20次