对强风化较破碎的砂岩采取岩块进行了室内饱和单轴抗压强度试验,其试验值为9MP、11MPa、13MPa、10MPa、15MPa、7MPa,据《建筑地基基础设...

作者: tihaiku 人气: - 评论: 0
问题 对强风化较破碎的砂岩采取岩块进行了室内饱和单轴抗压强度试验,其试验值为9MP、11MPa、13MPa、10MPa、15MPa、7MPa,据《建筑地基基础设计规范》(GB 50007—2011)确定的岩石地基承载力特征值的最大取值最接近于(  )MPa。
选项 A.0.7 B.1.2 C.1.7 D.2.1
答案 C
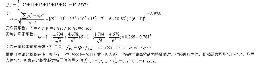
解析 根据《建筑地基基础设计规范》(GB 50007—2011)附录J第J.0.4条,具体计算如下: ①由题中条件,可求得岩石饱和单轴抗压强度平均值:

相关内容:风化,砂岩,岩块,室内,饱和,单轴,强度,试验,建筑,地基基础

猜你喜欢

发表评论
更多 网友评论0 条评论)
暂无评论

访问排行

Copyright © 2012-2014 恰考网 Inc. 保留所有权利。 Powered by tikuer.com

页面耗时0.0338秒, 内存占用1.04 MB, Cache:redis,访问数据库17次