某打入式钢管桩,外径为900mm。如果按桩身局部压屈控制,根据《建筑桩基技术规范》(JGJ 94—2008),所需钢管桩的最小壁厚接近下列哪个选项?(钢管...

作者: tihaiku 人气: - 评论: 0
问题 某打入式钢管桩,外径为900mm。如果按桩身局部压屈控制,根据《建筑桩基技术规范》(JGJ 94—2008),所需钢管桩的最小壁厚接近下列哪个选项?(钢管桩所用钢材的弹性模量E=2.1×l05N/mm2,抗压强度设计值f'y=350N/mm2)(  )
选项 A、 3mm B、 4mm C、 8mm D、 10mm
答案 D
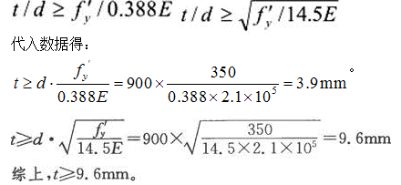
解析 根据《建筑桩基技术规范》(JGJ 94—2008)第5.8.6条规定,当d≥900mm时,应按下列两式进行验算:

相关内容:式钢,管桩,外径,按桩,局部,压屈,控制,根据,建筑桩基技术规范,壁厚,选项,钢管

猜你喜欢

发表评论
更多 网友评论0 条评论)
暂无评论

访问排行

Copyright © 2012-2014 恰考网 Inc. 保留所有权利。 Powered by tikuer.com

页面耗时0.0361秒, 内存占用1.05 MB, Cache:redis,访问数据库20次