某工程场地进行多孔水试验,地层情况、滤水管位置和孔位如图1所示,测试主要数根据如表2所示。试用潜水完整井公式计算,含水层的平均渗透系数最接近(  )m/d...

作者: tihaiku 人气: - 评论: 0
问题 某工程场地进行多孔水试验,地层情况、滤水管位置和孔位如图1所示,测试主要数根据如表2所示。试用潜水完整井公式计算,含水层的平均渗透系数最接近(  )m/d。
选项 A.12 B.9 C.6 D.3
答案 C
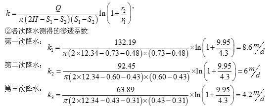
解析 根据《建筑基坑支护技术规程》(JGJ 120—2012)附录E规定,①潜水完整井有两个观测孔时,渗透系数计算公式为: ③求平均渗透系数 k=(k1+k2+k3)/3=(8.6+6+4.2)/3=6.27m/d。

相关内容:工程,场地,试验,地层,情况,水管,位置,孔位,如图,1所示,测试,要数,根据,2所示,潜水,完整井,公式,含水层,系数

猜你喜欢

发表评论
更多 网友评论0 条评论)
暂无评论

访问排行

Copyright © 2012-2014 恰考网 Inc. 保留所有权利。 Powered by tikuer.com

页面耗时0.0478秒, 内存占用1.05 MB, Cache:redis,访问数据库18次