如图所示,某河流梯级挡水坝,上游水深1m,AB高度为4.5m,坝后河床为砂土,其γsat=21kN/m3,c′=0,φ′=30°,砂土中有自上而下的稳定渗...

作者: tihaiku 人气: - 评论: 0
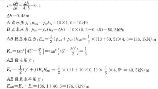
问题 如图所示,某河流梯级挡水坝,上游水深1m,AB高度为4.5m,坝后河床为砂土,其γsat=21kN/m3,c′=0,φ′=30°,砂土中有自上而下的稳定渗流,A到B的水力坡降i为0.1,按朗肯土压力理论,估算作用在该挡土坝背面AB段的总水平压力最接近下列哪个选项?(  )
选项 A、 70kN/m B、 75kN/m C、 176kN/m D、 183kN/m
答案 C
解析 水力坡降是指河流水面单位距离的落差。

相关内容:如图,河流,梯级,水坝,上游,水深,高度,河床,砂土

猜你喜欢

发表评论
更多 网友评论0 条评论)
暂无评论

访问排行

Copyright © 2012-2014 恰考网 Inc. 保留所有权利。 Powered by tikuer.com

页面耗时0.0411秒, 内存占用1.05 MB, Cache:redis,访问数据库19次