某公路工程地基为砂土地基,黏粒含量为0,在地表下6.0 m处测得剪应力比为0.16,地下水埋深为2.0 m、8.0 m处标准贯入锤击数为18击,该处砂土的...

作者: tihaiku 人气: - 评论: 0
问题 某公路工程地基为砂土地基,黏粒含量为0,在地表下6.0 m处测得剪应力比为0.16,地下水埋深为2.0 m、8.0 m处标准贯入锤击数为18击,该处砂土的地震液化性为( )。
选项 A液化 B不液化
答案 A
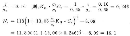
解析 解法一 根据剪应力比与临界标准贯入锤击数的关系式可求得临界标准贯入锤击数Nc 解得Nc=16.1 σ0=18×2+20×(8-2)=156 Cn=0.842 N1=Cn·N63.5=0.842×18=15.2 N1<Nc,砂土液化。 解法二 N1<Nc,砂土液化。

猜你喜欢

发表评论
更多 网友评论0 条评论)
暂无评论

访问排行

Copyright © 2012-2014 恰考网 Inc. 保留所有权利。 Powered by tikuer.com

页面耗时0.0494秒, 内存占用1.03 MB, Cache:redis,访问数据库20次