某民用建筑采用片筏基础,埋深为4.0 m,宽度为10 m,自0~3 m为黏性土,3~10 m为液化砂土,相对密度Dr=0.60,场地地震烈度为8度,地震作...

作者: tihaiku 人气: - 评论: 0
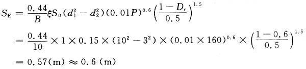
问题 某民用建筑采用片筏基础,埋深为4.0 m,宽度为10 m,自0~3 m为黏性土,3~10 m为液化砂土,相对密度Dr=0.60,场地地震烈度为8度,地震作用效应标准组合时的基底压力为160 kPa,该建筑物地震时的液化震陷量为( )。
选项 A 0.2 m B 0.4 m C 0.6 m D 0.8 m
答案 C
解析 0.44d1=0.44×10-4.4(m)<10(m),取B=10 m ξ=1,S0=0.15

相关内容:民用建筑,片筏,基础,宽度,黏性,液化,砂土,密度,场地,地震

猜你喜欢

发表评论
更多 网友评论0 条评论)
暂无评论

访问排行

Copyright © 2012-2014 恰考网 Inc. 保留所有权利。 Powered by tikuer.com

页面耗时0.0365秒, 内存占用1.05 MB, Cache:redis,访问数据库19次