某非均质土坝中局部坝体采用无黏性土填筑,土料比重为Gs=2.68,最大孔隙比emax=0.98;最小孔隙比emin=0.72,场地位于8度烈度区,地震动峰...

作者: tihaiku 人气: - 评论: 0
问题 某非均质土坝中局部坝体采用无黏性土填筑,土料比重为Gs=2.68,最大孔隙比emax=0.98;最小孔隙比emin=0.72,场地位于8度烈度区,地震动峰值加速度为0.20g,为不使坝体发生液化,土料的压实系数应不低于( )。
选项 A 0.92 B 0.94 C 0.96 D 0.98
答案 C
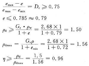
解析 8度烈度,(Ds)cr>75,即

相关内容:某非,土坝,局部,坝体,黏性,土料,比重,孔隙,场地,烈度区,震动

猜你喜欢

发表评论
更多 网友评论0 条评论)
暂无评论

访问排行

Copyright © 2012-2014 恰考网 Inc. 保留所有权利。 Powered by tikuer.com

页面耗时0.0408秒, 内存占用1.05 MB, Cache:redis,访问数据库19次