某水工建筑物基础埋深为5 m,场地地层资料如下: ① 0~3 m黏土,I1=0.5,vs1=50 m/s ② 3~12 m密实中砂,vs2...

作者: tihaiku 人气: - 评论: 0
问题 某水工建筑物基础埋深为5 m,场地地层资料如下: ① 0~3 m黏土,I1=0.5,vs1=50 m/s ② 3~12 m密实中砂,vs2=340 m/s; ③ 12 m以下基岩,vs3=800 m/s。 按《水工建筑物抗震设计规范》(DL5073—2000)。 ② 场地类别为( )。
选项 A Ⅰ类 B Ⅱ类 C Ⅲ类 D Ⅳ类
答案 B
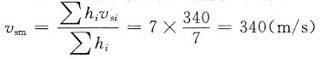
解析 ① 覆盖层厚度为12 m。 ② 平均剪切波速vsm(自建基面至12 m)。 ③ 场地土类型。 vsm=340 m/s,场地土为中硬场地土。 ④ 场地类型。 中硬场地土,d0v=12 m,场地类别为Ⅱ类。

相关内容:水工,建筑物,基础,场地,地层,资料,如下,黏土,中砂,vs2...

猜你喜欢

发表评论
更多 网友评论0 条评论)
暂无评论

访问排行

Copyright © 2012-2014 恰考网 Inc. 保留所有权利。 Powered by tikuer.com

页面耗时0.0375秒, 内存占用1.05 MB, Cache:redis,访问数据库20次