某公路工程地基由碎石土组成,动静极限承载力的比值为1.15,动承载力安全系数为1.5,静承载力安全系数为2.0,该土层抗震承载力提高系数K宜取( )...

作者: tihaiku 人气: - 评论: 0
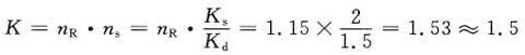
问题 某公路工程地基由碎石土组成,动静极限承载力的比值为1.15,动承载力安全系数为1.5,静承载力安全系数为2.0,该土层抗震承载力提高系数K宜取( )
选项 A 1.0 B 1.1 C 1.3 D 1.5
答案 D
解析

相关内容:公路工程,地基,碎石,动静,极限,承载力,比值,土层,抗震,系数,宜取

猜你喜欢

发表评论
更多 网友评论0 条评论)
暂无评论

访问排行

Copyright © 2012-2014 恰考网 Inc. 保留所有权利。 Powered by tikuer.com

页面耗时0.0310秒, 内存占用1.05 MB, Cache:redis,访问数据库19次