某水工建筑物场地位于第四系全新统冲积层上,该地区地震烈度为9度,地震动峰值加速度为0.40g,蓄水后场地位于水面以下,场地中0~5.0 m为黏性土,5.0...

作者: tihaiku 人气: - 评论: 0
问题 某水工建筑物场地位于第四系全新统冲积层上,该地区地震烈度为9度,地震动峰值加速度为0.40g,蓄水后场地位于水面以下,场地中0~5.0 m为黏性土,5.0~9.0 m为砂土,砂土中大于5 mm的粒组质量百分含量为31%,小于0.005 mm的黏粒含量为13%,砂土层波速测试结果为vs=360 m/s;vs=160 m/s;9.0 m以下为岩石。该水工建筑物场地土的液化性可初步判定为( )。
选项 A 有液化可能性 B 不液化 C 不能判定 D 不能排除液化可能性
答案 D
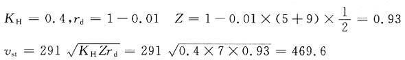
解析 地质年代为全新流Q4,晚于Q3;小于5 mm的颗粒含量大于30%,因此按小于5 mm的颗粒含量进行判别。黏粒含量为13%,换算后为9度烈度,黏粒含量小于20%,不能排除液化。蓄水后土层位于水位以下,不能排除液化。 vs<vst初判不能排除液化可能性。

相关内容:水工,建筑物,场地,第四,地区,震动,峰值,加速度,蓄水,水面,地中,黏性,5.0...

猜你喜欢

发表评论
更多 网友评论0 条评论)
暂无评论

访问排行

Copyright © 2012-2014 恰考网 Inc. 保留所有权利。 Powered by tikuer.com

页面耗时0.0381秒, 内存占用1.04 MB, Cache:redis,访问数据库16次