某Ⅱ类土质场地位于7度烈瘦区,设计基本地震加速度为0.15 g,设计地震分组为第一组,考虑多遇地震影响,场地中有一突出台地,台地高15 m,台地顶、底边缘...

作者: tihaiku 人气: - 评论: 0
问题 某Ⅱ类土质场地位于7度烈瘦区,设计基本地震加速度为0.15 g,设计地震分组为第一组,考虑多遇地震影响,场地中有一突出台地,台地高15 m,台地顶、底边缘水平投影距离为25 m,建筑物距台地最小距离为30 m,建筑物阻尼比为0.05,自震周期为1.3 s,该建筑结构的地震影响系数为( )。
选项 A 0.04 B 0.05 C 0.06 D 0.07
答案 B
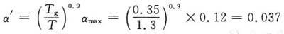
解析 ① 不考虑地形影响时的地震影响系数α'。αmax=0.12,Tg=0.35s Tg<T<5Tg,曲线为曲线下降段 ② 不利地段对地震影响系数的放大系数λ。λ=1+1.0×0.4=1.4 α=λα'=1.4×0.037=0.05

相关内容:土质,场地,烈瘦区,设计,地震,加速度,分组,多遇,影响,台地,边缘

猜你喜欢

发表评论
更多 网友评论0 条评论)
暂无评论

访问排行

Copyright © 2012-2014 恰考网 Inc. 保留所有权利。 Powered by tikuer.com

页面耗时0.0468秒, 内存占用1.04 MB, Cache:redis,访问数据库18次