某高层建筑采用梁板式筏基,双向板格的净长度分别为6m、10m,筏板有效高度为0.5m,混凝土抗拉强度为ft=1.1MPa,基底平均净反力为220kPa,据...

作者: tihaiku 人气: - 评论: 0
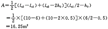
问题 某高层建筑采用梁板式筏基,双向板格的净长度分别为6m、10m,筏板有效高度为0.5m,混凝土抗拉强度为ft=1.1MPa,基底平均净反力为220kPa,据《建筑地基基础设计规范》(GB 50007—2002),底板斜截面受剪承载力验算结果为( )。
选项 A.满足,受剪承载力为21 899 kN B.不满足,受剪承载力为21 899 kN C.满足,受剪承载力为3537 kN D.不满足,受剪承载力为3537 kN
答案 A
解析 根据《建筑地基基础设计规范》(GB 50007—2002)第8.4.5条计算剪切力 Vs=pjA=220×16.25=3575kN 受剪承载力截面高度影响系数 βhs=(800/h0)~1/4=6.32 0.7βhsft(ln2-2h0)h0=0.7×6.32×1.1×103×(10-2×0.5)×0.5=21 899kN>Vs 受剪承载力验算满足。

相关内容:高层建筑,梁板式,筏基,板格,长度,筏板,高度,混凝土,抗拉,强度,1.1MPa,基底,220kPa

猜你喜欢

发表评论
更多 网友评论0 条评论)
暂无评论

访问排行

Copyright © 2012-2014 恰考网 Inc. 保留所有权利。 Powered by tikuer.com

页面耗时0.0456秒, 内存占用1.04 MB, Cache:redis,访问数据库15次