某桩基工程安全等级为二级,其桩型、平面布置、剖面和地层分布如图所示。已知单桩水平承载力设计值为100kN,按《建筑桩基技术规范》(JGJ 94—94)计算...

作者: tihaiku 人气: - 评论: 0
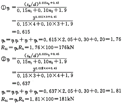
问题 某桩基工程安全等级为二级,其桩型、平面布置、剖面和地层分布如图所示。已知单桩水平承载力设计值为100kN,按《建筑桩基技术规范》(JGJ 94—94)计算群桩基础的复合基桩水平承载力设计值,其结果最接近( )。(ηr=2.05,η1=0.30,ηb=0.20) A108kN B135kN C156kN D180kN
选项
答案 D
解析

相关内容:桩基,工程,等级,其桩型,平面,剖面,地层,如图,单桩,水平,承载力,设计,建筑桩基技术规范

猜你喜欢

发表评论
更多 网友评论0 条评论)
暂无评论

访问排行

Copyright © 2012-2014 恰考网 Inc. 保留所有权利。 Powered by tikuer.com

页面耗时0.0419秒, 内存占用1.05 MB, Cache:redis,访问数据库20次