某灌注桩,桩径1.0m,桩身配筋8φ25,混凝土强度等级C30,保护层厚度为 50mm,桩周3.2m范围内地基土为粉质黏土,其水平抗力系数的比例系数m=2...

作者: tihaiku 人气: - 评论: 0
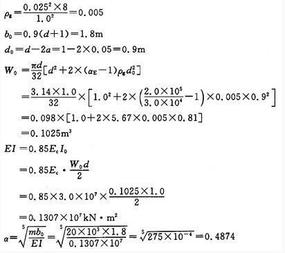
问题 某灌注桩,桩径1.0m,桩身配筋8φ25,混凝土强度等级C30,保护层厚度为 50mm,桩周3.2m范围内地基土为粉质黏土,其水平抗力系数的比例系数m=20MN/m4(f1=1.43N/mm2,Ec=3.0×10~4N/mm2,Es=2.0×10~5N/mm2),桩长13m,桩顶标高 2.0m,桩顶作用竖向压力,设计值N=1500kN。则桩的水平变形系数。为( )m-1。
选项 A.0.325 B.0.4874 C.0.5236 D.1.235
答案 B
解析

相关内容:灌注桩,桩径,桩身,配筋,混凝土,强度,等级,保护层,厚度,桩周,地基,粉质,黏土,水平,抗力,系数,比例

猜你喜欢

发表评论
更多 网友评论0 条评论)
暂无评论

访问排行

Copyright © 2012-2014 恰考网 Inc. 保留所有权利。 Powered by tikuer.com

页面耗时0.0496秒, 内存占用1.04 MB, Cache:redis,访问数据库15次