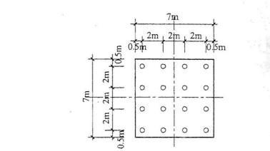
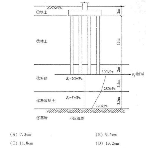
某构筑物桩基安全等级为二级,柱下桩基础采用16根钢筋混凝土预制桩,桩径d=0.5m,桩长15m,其承台平面布置、剖面、地层以及桩端下的有效附加应力(假定按...

作者: tihaiku 人气: - 评论: 0
问题 某构筑物桩基安全等级为二级,柱下桩基础采用16根钢筋混凝土预制桩,桩径d=0.5m,桩长15m,其承台平面布置、剖面、地层以及桩端下的有效附加应力(假定按直线分布)如图所示,按《建筑桩基技术规范》(JGJ94-94)估算桩基沉降量最接近下列哪个选项?(沉降经验系数取1.0)
选项
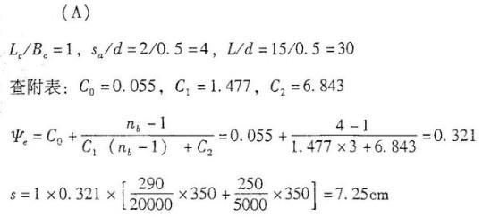
答案 A
解析

相关内容:构筑物,桩基,等级,柱下,桩基础,钢筋混凝土,桩径,桩长,平面,剖面,地层,桩端下,附加,应力,假定

猜你喜欢

发表评论
更多 网友评论0 条评论)
暂无评论

访问排行

Copyright © 2012-2014 恰考网 Inc. 保留所有权利。 Powered by tikuer.com

页面耗时0.0574秒, 内存占用1.04 MB, Cache:redis,访问数据库15次