已知某场地地层条件及孔隙比e随压力变化拟合函数如下表,②层以下为不可压缩层,地下水位在地面处,在该场地上进行大面积填土,当堆土荷载为30kPa时,估算填土...

作者: tihaiku 人气: - 评论: 0
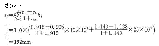
问题 已知某场地地层条件及孔隙比e随压力变化拟合函数如下表,②层以下为不可压缩层,地下水位在地面处,在该场地上进行大面积填土,当堆土荷载为30kPa时,估算填土荷载产生的沉降最接近下列哪个选项?(沉降经验系数ξ按1.0,变形计算深度至应力比为0.1处)(  )
选项 A、 50mm B、 200mm C、 230mm D、 300mm
答案 B
解析 根据《建筑地基处理技术规范》(JGJ 79—2012)第5.2.12条规定,预压荷载下地基最终竖向变形量的计算可取附加应力与土自重应力的比值为0.1的深度作为压缩层的计算深度可按下式计算:

相关内容:场地,地层,条件,孔隙,压力,变化,函数,地下,水位,地面,地上,大面积,当堆,荷载,估算

猜你喜欢

发表评论
更多 网友评论0 条评论)
暂无评论

访问排行

Copyright © 2012-2014 恰考网 Inc. 保留所有权利。 Powered by tikuer.com

页面耗时0.0486秒, 内存占用1.05 MB, Cache:redis,访问数据库19次