某松散砂石地基,拟采用碎石桩和CFG桩联合加固,已知柱下独立承台平面尺寸为2.0m×3.0m,共布设6根CFG桩和9根碎石桩(见图)。其中CFG桩直径为4...

作者: tihaiku 人气: - 评论: 0
问题 某松散砂石地基,拟采用碎石桩和CFG桩联合加固,已知柱下独立承台平面尺寸为2.0m×3.0m,共布设6根CFG桩和9根碎石桩(见图)。其中CFG桩直径为400mm,单桩竖向承载力特征值Ra=600kN;碎石桩直径为300mm,与砂土的桩土应力比取2.0;砂土天然状态地基承载力特征fak=100kPa,加固后砂土地基承载力fak=120kPa。如果CFG桩单桩承载力发挥系数λ1=0.9,桩间土承载力发挥系数口β=1.0,问该复合地基压缩模量提高系数最接近下列哪个选项?(  )
选项 A、 5.0 B、 5.6 C、 6.0 D、 6.6
答案 D
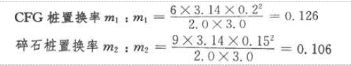
解析 根据《建筑地基处理技术规范》(JGJ 79—2012)第7.9.6条、7.9.8条规定,桩土复合地基桩的置换率m可分别用下式计算:

相关内容:砂石,地基,碎石,加固,柱下,平面,尺寸,桩和,直径

猜你喜欢

发表评论
更多 网友评论0 条评论)
暂无评论

访问排行

Copyright © 2012-2014 恰考网 Inc. 保留所有权利。 Powered by tikuer.com

页面耗时0.0434秒, 内存占用1.05 MB, Cache:redis,访问数据库20次