岩基为方形柔性基础,在荷载作用下,岩基弹性变形量在基础中心处的值约为边角处的多少? A. 1/2 倍 B.相同 C. 1.5 倍 D. 2. 0 倍

作者: tihaiku 人气: - 评论: 0
问题 岩基为方形柔性基础,在荷载作用下,岩基弹性变形量在基础中心处的值约为边角处的多少? A. 1/2 倍 B.相同 C. 1.5 倍 D. 2. 0 倍
选项
答案 D
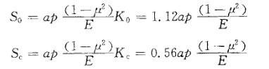
解析 提示:根据方形柔性基础中心处和角点处的沉降计算公式 对比后可以得出,基础中心处的值约为边角处的2倍。

相关内容:岩基,方形,柔性,基础,荷载,作用,弹性,中心,边角

发表评论
更多 网友评论0 条评论)
暂无评论

访问排行

Copyright © 2012-2014 恰考网 Inc. 保留所有权利。 Powered by tikuer.com

页面耗时0.0263秒, 内存占用1.04 MB, Cache:redis,访问数据库18次