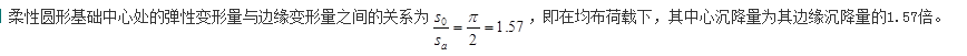
承受均布荷载的圆形柔性基础,其中心沉降量为其边缘沉降量的(  )倍。A.0.88 B.1.57 C.1.92 D.2

作者: tihaiku 人气: - 评论: 0
问题 承受均布荷载的圆形柔性基础,其中心沉降量为其边缘沉降量的(  )倍。
选项 A.0.88 B.1.57 C.1.92 D.2
答案 B
解析

相关内容:承受,布荷载,荷载,圆形,柔性,基础,中心,边缘,A.0.88,B.1.57,C.1.92

猜你喜欢

发表评论
更多 网友评论0 条评论)
暂无评论

访问排行

Copyright © 2012-2014 恰考网 Inc. 保留所有权利。 Powered by tikuer.com

页面耗时0.0384秒, 内存占用1.04 MB, Cache:redis,访问数据库18次