被评估对象为一宗待开发商业用地,土地面积5 000平方米,该宗地的使用权年限自评估基准日起为40年,当地城市规划规定,待估宗地的容积率为5,覆盖率为60%...

作者: rantiku 人气: - 评论: 0
问题 被评估对象为一宗待开发商业用地,土地面积5 000平方米,该宗地的使用权年限自评估基准日起为40年,当地城市规划规定,待估宗地的容积率为5,覆盖率为60%。评估师根据城市规划的要求及房地产市场现状及发展趋势,认为待估宗地的最佳开发方案为建设一幢25 000平方米的大厦,其中1-2层为商场,每层建筑面积为3 00O平方米,3层及3层以上为写字楼,每层建筑面积为1 900平方米。 评估师根据相关资料,经分析、测算得到如下数据资料: 1.将待估宗地开发成七通一平的建筑用地需要投资500万元,开发期为1年,投资在1年内均匀投入; 2.大厦建设期为2年,平均每平方米建筑面积的建筑费用为3 000元,所需资金分两年投人,第一年投入所需资金的60%,第二年投入所需资金的40%,各年投资均匀投入; 3.专业费用为建筑费用的10%; 4.预计大厦建成后即可出租,其中1-2层每平方米建筑面积的年租金为2 000元,出租率可达100%,第3至第5层(即写字楼部分的1至3层)平均每天每平方米建筑面积租金为2元,第6层及以上各层平均每天每平方米建筑面积租金为2.5元,写字楼平均空置率约为10%; 5.管理费用为租金的5%,税金为租金的17.5%,保险费为建筑费及专业费用的0.1%,维修费用为建筑费用的1%,年贷款利率为5%,复利计息; 6.开发商要求的利润为建筑费用、专业费用、地价及土地开发费用之和的25%; 7.房地产综合资本化率为8%; 8.每年按365天计算: 9.本项目不考虑所得税因素。
选项
答案
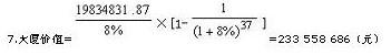
解析 1.1——2楼面积 3 000×2=6 000(平方米) 2.3——5层面积 1 900×3=5 700(平方米) 3.6层及6层以上面积25 000—6 000—5 700=13 300(平方米) 4.年总收入 6 000×2 000+5 700×2×365×(1—10%)+13 300×2.5×365×(1-10%) =12 000 000+3 744 900+10 922 625 =26 667 525(元) 5.年总费用 26 667 525×(5%+17.5%)+25 000×3 000×1.1×0.1%+25 000×3 000×1% =6 000 193.13+82 500+750 000=6 832 693.13(元) 6.年利润总额26 667 525-6 832 693.13=19 834 831.87(元) 8.建筑费用3 000×25000=75 000 000(元) 9.专业费用 75 000 000×10%=7 500 000(元) 10.开发商利润 (75 000 000+7 500 000+5 000 000+地价)×25% =87 560 000×0.25+0.25×地价 =21 875 000+0.25×地价 =0.1576×地价+648 631.61+3 758 526.61+814 937.53 =0.1576×地价+5 222 095.75 12.地价 地价=233 558 686-75 000 000-7 500 000-5 000 000-21 875 000-0.25×地价-0.1576×地价-5 222 095.75 地价+0.25×地价+0.1576×地价=118 961 590.3(元)

猜你喜欢

发表评论
更多 网友评论0 条评论)
暂无评论

访问排行

Copyright © 2012-2014 恰考网 Inc. 保留所有权利。 Powered by tikuer.com

页面耗时0.0387秒, 内存占用1.04 MB, Cache:redis,访问数据库20次