某企业为了整体资产转让,需进行评估。经预测:该企业未来5年净利润分别为100万元、110万元、120万元、150万元、160万元,从第6年起,每年收益...

作者: rantiku 人气: - 评论: 0
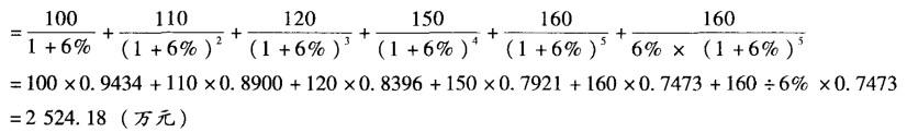
问题 某企业为了整体资产转让,需进行评估。经预测: 该企业未来5年净利润分别为100万元、110万元、120万元、150万元、160万元,从第6年起,每年收益处于稳定状态,即每年均为160万元。 该企业一直没有负债,其有形资产只有货币资金和固定资产,且其评估值分别为100万元和500万元。 该企业有一项可确指无形资产,即一个尚有5年剩余经济寿命的非专利技术,该技术产品每件可获超额净利润100万元。 目前,该企业每年生产产品8万件,经综合生产能力和市场分析预测,在未来5年,每年可生产10万件。经预测折现率和本金化率均为6%。 要求: 评估该企业的商誉价值并说明评估技术思路(以万元为单位,小数点后保留两位)。
选项
答案
解析 (I)评估技术思路。 该企业商誉价值评估应采用割差法进行。首先运用收益法评估企业整体价值,再运用加和法计算出企业各单项资产价值之和,最后运用企业整体价值減掉企业单项资产评估值之和得到企业商誉价值。 (2)计算企业整体价值: 估算出该企业整体资产评估价值 (3)计算企业各单项资产价值:单项有形资产评估值为600万元; 非专利技术评估值=100X(0.9434+0.8900+0.8396+0.7921+0.7473)=421.24(万元) (4)评估商誉价值: 商誉价值=整体资产评估值-(有形资产评估值+非专利技术评估值)或=整体资产评估值-有形资产评估值-非专利技术评估值=2524.18-(600+421.24)=1502.94(万元)

猜你喜欢

发表评论
更多 网友评论0 条评论)
暂无评论

访问排行

Copyright © 2012-2014 恰考网 Inc. 保留所有权利。 Powered by tikuer.com

页面耗时0.0451秒, 内存占用1.04 MB, Cache:redis,访问数据库18次