某评估机构以2007年1月1日为评估基准日对甲企业进行评估,甲企业账面有4项长期投资,账面原值共计8500万元,其中:(1)向A有限责任公司投资,投资...

作者: rantiku 人气: - 评论: 0
问题 某评估机构以2007年1月1日为评估基准日对甲企业进行评估,甲企业账面有4项长期投资,账面原值共计8500万元,其中: (1)向A有限责任公司投资,投资时间为1998年12月31日,账面原值200万元,占A企业总股本的15%。根据投资合同,全部以现金投入,合同期共10年,合同约定甲企业按投资比例对A企业每年的净利润进行分红。根据A企业提供的资产评估机构出具的资产评估报告,A企业至评估基准日的净资产为1200万元。经调查得知,A企业由于产品陈旧、管理不善,连续几年亏损,已于两年前完全停产,无法继续经营。 (2)向B企业投资,投资日期为2004年1月1日,账面原值500万元,占B企业总股本的8.5%。根据投资合同,甲企业全部以现金投入,合同期共15年。合同约定B企业每年按甲企业投资额的16%作为甲企业的投资报酬,每年支付一次,合同期满后B企业不再向甲企业返还投资本金。根据B企业提供的审计报告,B企业至评估基准日账面净资产为8200万元,企业每年净利润保持在650万元左右的水平上,企业经营稳定。 (3)向C企业投资,投资日期为2003年1月1日,账面原值5 800万元,占C企业总股本的70%。C企业是由甲企业发起设立的,根据合同规定,只要C企业不出现连续3年亏损,就一直经营下去。根据企业提供的财务报表,至评估基准日C企业净资产为9200万元,2006年度的净利润为600万元,在过去的4年中每年的净利润一直稳步递增。评估人员调查得知,C企业为一高新技术企业,产品的销售前景较好,预计评估基准日之后第1年至第5年的净利润分别在前一年的基础上递增10%,从第6年起,每年将在上一年的基础上以2%的速度递减。 (4)向D企业投资,投资日期为1993年12月31日,账面原值2000万元。D企业为股份公司,并于2005年上市。经调査得知,在甲企业初始投资时,按每1元折合1股,共计2000万股,为企业法人股。D企业上市时进行了缩股,缩股前的1.25股在缩股后变为1股。半年前D上市公司进行了股改,法人股股东又将所持股数的20%作为法人股获得流通权利对原流通股股东的补偿支付给原流通股股东,至评估基准日该法人股已允许上市交易。评估基准日时D企业股票开盘价为7元/股,最高价为7.6元/股。最低价为6.9元/股,收盘价为7.5元/股。 在上述资料的基础上,不再考虑其他因素(其中包括少数股权折价和控股股权溢价因素),假设折现率及资本化率均为12%。要求: 对甲企业的长期投资进行评估。
选项
答案
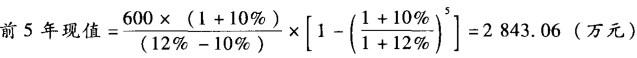
解析 (1)向A有限责任公司投资:其评估值为0。 (2)向B企业投资: 评估值=500x16%X(P/A,12%,12)=495.55(万元) (3)向C企业投资: 第5年的收益=600X(1+10%)5=966.31(万元)第6年的收益=966.31X(1-2%)=946.98(万元) 第6年及未来现值=946.98/(12%+2%)X(1+12%) -5=3838.16(万元) 现值合计=2843.06+3838.16=6681.22(万元)甲企业投资价值=6681.22X70%=4676.85(万元) (4)向D企业投资: 可上市股权的数量=2000/1.25x(1-20%)=1280(万股) 股票市值=1280X7.5=9600(万元) (5)甲企业长期投资的总值: 长期投资的总值=495.55+4676.85+9600=14772.4(万元)

猜你喜欢

发表评论
更多 网友评论0 条评论)
暂无评论

访问排行

Copyright © 2012-2014 恰考网 Inc. 保留所有权利。 Powered by tikuer.com

页面耗时0.0470秒, 内存占用1.04 MB, Cache:redis,访问数据库20次