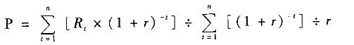
某企业预计未来5年的预期收益额为10万元、11万元、12万元、12万元和13万元。假定折现率与资本化率均为10%。要求:试用适当的技术方法估测该企业持...

作者: rantiku 人气: - 评论: 0
问题 某企业预计未来5年的预期收益额为10万元、11万元、12万元、12万元和13万元。假定折现率与资本化率均为10%。 要求:试用适当的技术方法估测该企业持续经营条件下的企业价值。
选项
答案
解析 运用年金法公式: =(10 x0.9091 +11 x0. 8264 + 12 x0. 7513 +12 x0.6830 +13 x0.6209)/ (0. 9091 +0. 8264 +0. 7513 +0. 6830 +0. 6209)/10% =(9.09 +9.09 +9. 02 +8.20 +8.07)/3.7907/10% = 43.47 /3.7907 /10% = 114.68 (万元)

猜你喜欢

发表评论
更多 网友评论0 条评论)
暂无评论

访问排行

Copyright © 2012-2014 恰考网 Inc. 保留所有权利。 Powered by tikuer.com

页面耗时0.0496秒, 内存占用1.03 MB, Cache:redis,访问数据库20次