某企业预计未来5年的预期收益额为10万元、11万元、12万元、12万元和13万元,并从第6年开始,企业的年收益额将维持在15万元水平上。假定折现率与资本化...

作者: rantiku 人气: - 评论: 0
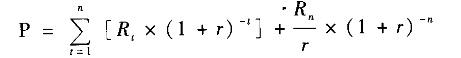
问题 某企业预计未来5年的预期收益额为10万元、11万元、12万元、12万元和13万元,并从第6年开始,企业的年收益额将维持在15万元水平上。假定折现率与资本化率均为10%。 要求:试估测该企业持续经营条件下的企业价值。
选项
答案
解析 运用分段法公式: =(10 X 0.9091 +11 x 0.8264 +12 x 0.7513 +12 x 0.6830 + 13 x 0.6209)+15 /10% x 0. 6209 = 43. 47 +150 x0. 6209 = 136.61 (万元)

猜你喜欢

发表评论
更多 网友评论0 条评论)
暂无评论

访问排行

Copyright © 2012-2014 恰考网 Inc. 保留所有权利。 Powered by tikuer.com

页面耗时0.0458秒, 内存占用1.03 MB, Cache:redis,访问数据库17次