某企业预计未来5年的预期收益额为10万元、11万元、12万元、12万元和13万元,并从第6年开始,企业的年收益额将在第5年的水平上以1%的增长率增长。假定...

作者: rantiku 人气: - 评论: 0
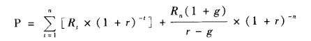
问题 某企业预计未来5年的预期收益额为10万元、11万元、12万元、12万元和13万元,并从第6年开始,企业的年收益额将在第5年的水平上以1%的增长率增长。假定折现率与资本化率均为10%。 要求:试估测该企业持续经营条件下的企业价值。
选项
答案
解析 运用分段法公式: =(10 x0. 9091 + 11 x0. 8264 + 12 x0. 7513 + 12 x0.6830 + 13 x0. 6209)+ 13 x (1 +1% )/(10% - 1% ) x 0. 6209 = 43.47 +13. 13/9% x 0.6209 = 43.47 +145. 89 x0. 6209 = 43.47 +90.58 = 134.05 (万元)

猜你喜欢

发表评论
更多 网友评论0 条评论)
暂无评论

访问排行

Copyright © 2012-2014 恰考网 Inc. 保留所有权利。 Powered by tikuer.com

页面耗时0.0367秒, 内存占用1.03 MB, Cache:redis,访问数据库20次