关于正态分布的分位数,下列表达式正确的是( )。

作者: rantiku 人气: - 评论: 0
问题 关于正态分布的分位数,下列表达式正确的是( )。
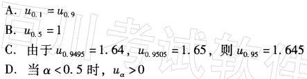
选项
答案 C
解析

猜你喜欢

发表评论
更多 网友评论0 条评论)
暂无评论

访问排行

Copyright © 2012-2014 恰考网 Inc. 保留所有权利。 Powered by tikuer.com

页面耗时0.0473秒, 内存占用1.03 MB, Cache:redis,访问数据库20次