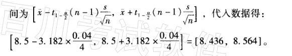
某溶液中的乙醇浓度服从正态分布,从中抽取一个样本量为4的样本,求得=8.5, 样本标准差为s=0. 04,则正态均值μ与σ的95%的置信区间分别为( )。...

作者: rantiku 人气: - 评论: 0
问题 某溶液中的乙醇浓度服从正态分布,从中抽取一个样本量为4的样本,求得=8.5, 样本标准差为s=0. 04,则正态均值μ与σ的95%的置信区间分别为( )。 A. [8.292,8.550] ; [0.017,0.112] B. [8.430,8.550];[0.023,0. 112] C. [8.436,8.564] ; [0.023,0. 149] D. [8.449,8.564];[0.017,0. 149]
选项
答案 C
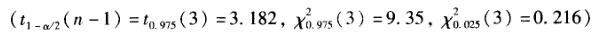
解析 因σ未知,σ用其估计s代替,所以采用t分布求得正态均值μ的1 - a置信区

猜你喜欢

发表评论
更多 网友评论0 条评论)
暂无评论

访问排行

Copyright © 2012-2014 恰考网 Inc. 保留所有权利。 Powered by tikuer.com

页面耗时0.0317秒, 内存占用1.03 MB, Cache:redis,访问数据库16次