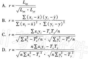
两个变量(x, y),其观测值为(xi, yi) i= l, 2,…,n。则简单相关系数r的表达式不正确的是( )。

作者: rantiku 人气: - 评论: 0
问题 两个变量(x, y),其观测值为(xi, yi) i= l, 2,…,n。则简单相关系数r的表达式不正确的是( )。
选项
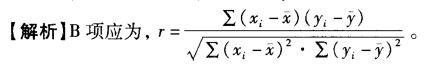
答案 B
解析

猜你喜欢

发表评论
更多 网友评论0 条评论)
暂无评论

访问排行

Copyright © 2012-2014 恰考网 Inc. 保留所有权利。 Powered by tikuer.com

页面耗时0.0312秒, 内存占用1.03 MB, Cache:redis,访问数据库18次