某药片重量(毫克)服从正态分布,现知该药片100片的平均重量服从正态分布N (20,0. 152),则该药单片重量的分布是( )。A.N (20,0....

作者: rantiku 人气: - 评论: 0
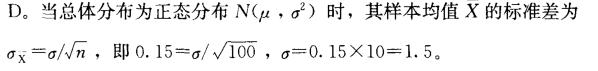
问题 某药片重量(毫克)服从正态分布,现知该药片100片的平均重量服从正态分布N (20,0. 152),则该药单片重量的分布是( )。 A.N (20,0.152) B. N (20,0.0152) C.N (20,152) D. N (20, 1. 52)
选项
答案 D
解析

猜你喜欢

发表评论
更多 网友评论0 条评论)
暂无评论

访问排行

Copyright © 2012-2014 恰考网 Inc. 保留所有权利。 Powered by tikuer.com

页面耗时0.0331秒, 内存占用1.03 MB, Cache:redis,访问数据库19次